Open Access

Fig. 7.

image

Download original image

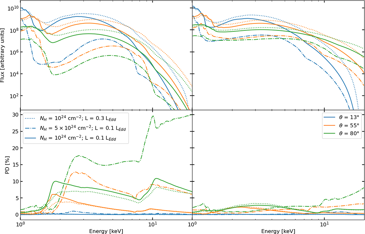
Spectra (top row) and PD profiles (bottom row) of the disk direct radiation observed at infinity for two BH spins, a = 0 (left) and 0.998 (right), and three values of the observer’s inclination, θ = 13° (cyan), 51° (orange), and 74° (green), with the disk atmosphere assumed to be in CIE. The solid lines show the results obtained for NH = 1024 cm−2 and = 0.1 Edd, the dashed lines those obtained for NH = 1024 cm−2 and = 0.3 Edd, and the dash-dotted lines for NH = 5 × 1024 cm−2 and = 0.1 Edd. All other parameters are the same as in Fig. 5.

Current usage metrics show cumulative count of Article Views (full-text article views including HTML views, PDF and ePub downloads, according to the available data) and Abstracts Views on Vision4Press platform.

Data correspond to usage on the plateform after 2015. The current usage metrics is available 48-96 hours after online publication and is updated daily on week days.

Initial download of the metrics may take a while.