Open Access

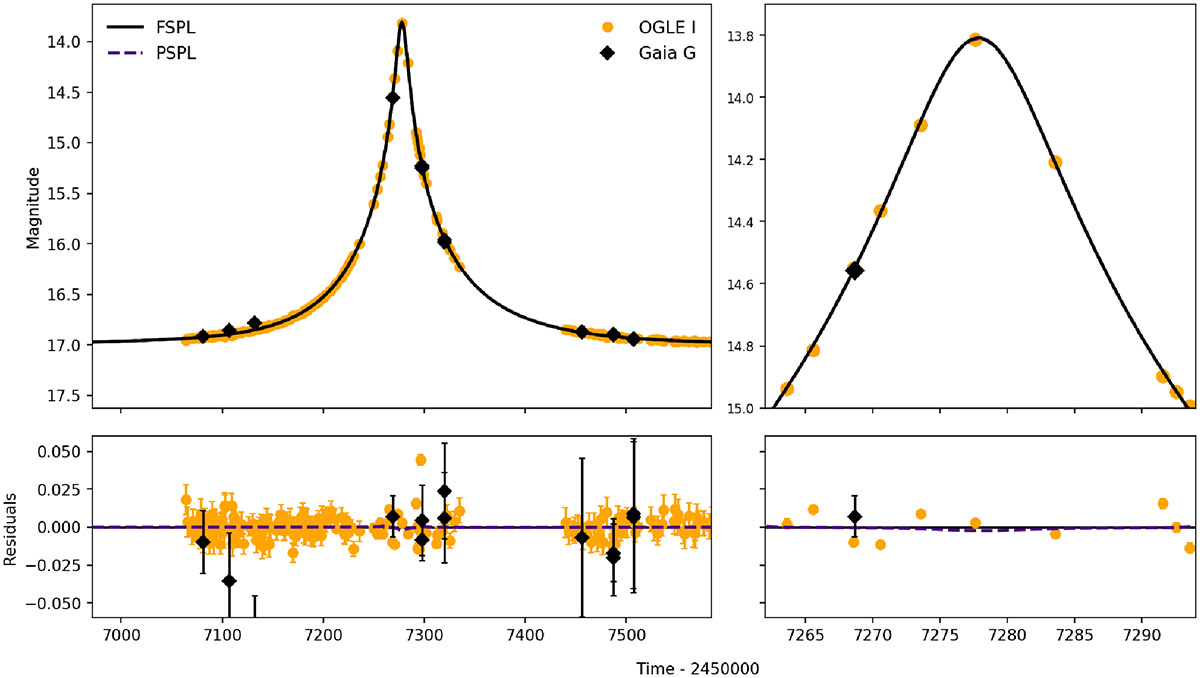
Fig. 6.

image

Download original image

Light curve of GaiaDR3-ULENS-067 with the data from Gaia and OGLE. The solid line shows the parallax FS model, while the dashed line shows a parallax model for the point source. The right figure shows the zoom-in on the peak of the light curve.

Current usage metrics show cumulative count of Article Views (full-text article views including HTML views, PDF and ePub downloads, according to the available data) and Abstracts Views on Vision4Press platform.

Data correspond to usage on the plateform after 2015. The current usage metrics is available 48-96 hours after online publication and is updated daily on week days.

Initial download of the metrics may take a while.