Open Access

Fig. 1

image

Download original image

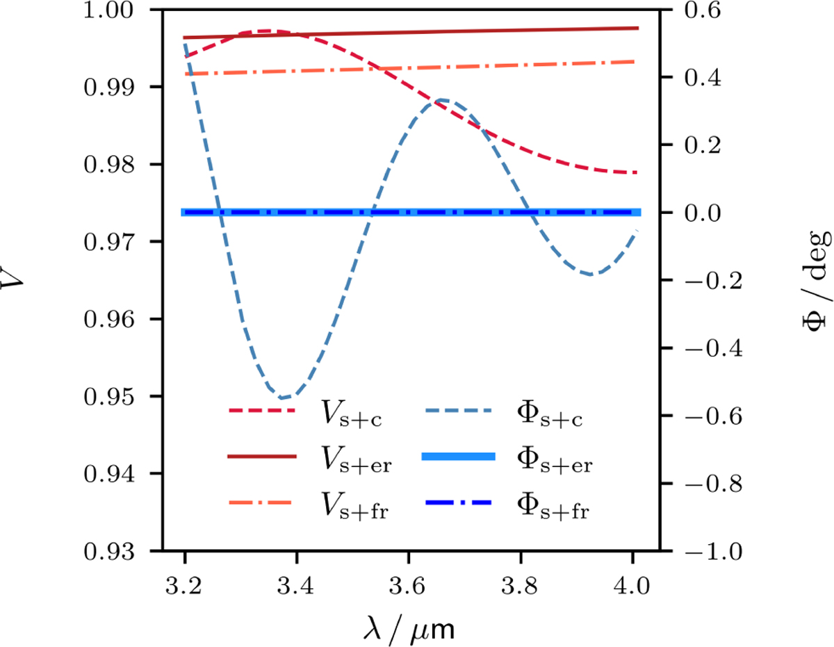
Expected visibility amplitudes, V, and closure phases, Φ, of a binary system composed of a central star and a companion (dashed lines, denoted by the index s+c), exemplarily modeled for κ Tuc A and a faint companion at the projected distance of ≈ 1.4 au, assuming a companion-to-star flux ratio of f=1% and a fixed telescope triplet (Haubois & Mieske 2024). In comparison to that, the plot shows the modeled visibilities and closure phases of an edge-on (solid lines, denoted by the index s+er) and face-on (dash-dot lines, denoted by the index s+fr) hot dust ring with the inner radius Rin=0.1 au (Kirchschlager et al. 2020) and a flux ratio of f ≈ 1%.

Current usage metrics show cumulative count of Article Views (full-text article views including HTML views, PDF and ePub downloads, according to the available data) and Abstracts Views on Vision4Press platform.

Data correspond to usage on the plateform after 2015. The current usage metrics is available 48-96 hours after online publication and is updated daily on week days.

Initial download of the metrics may take a while.