Open Access

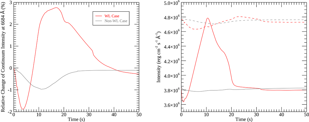
Fig. 1.

image

Download original image

Light curves of Ic, rel as well as intensities left and right of the Balmer jump for a WL and a non-WL case. Left: Ic, rel as a function of time for the WL case d3_1.0e12_20 and the non-WL case d3_1.0e11_10. Right: Intensities blueward (at 3646.9 Å; solid lines) and redward (at 3647.1 Å; dashed lines) of the Balmer jump. In both panels, red indicates the WL case, whereas gray specifies the non-WL case.

Current usage metrics show cumulative count of Article Views (full-text article views including HTML views, PDF and ePub downloads, according to the available data) and Abstracts Views on Vision4Press platform.

Data correspond to usage on the plateform after 2015. The current usage metrics is available 48-96 hours after online publication and is updated daily on week days.

Initial download of the metrics may take a while.