Open Access

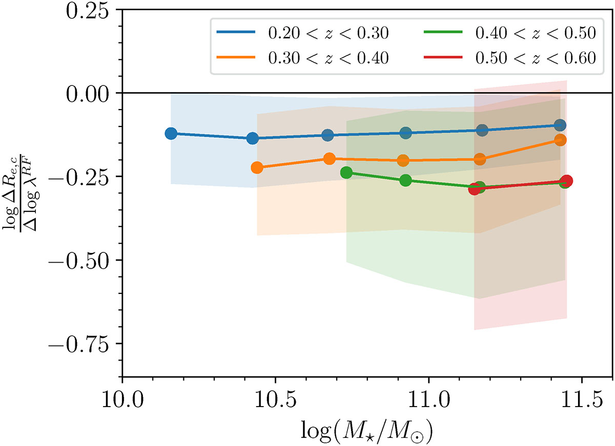
Fig. 3.

image

Download original image

Rate of change in Re, c with rest-frame wavelength. Blue, orange, green, and red circles show the median Δ log R e , c Δ log λ RF $ \frac{\Delta \log R_{\mathrm{e,c}}}{\Delta \log \lambda^{\mathrm{RF}}} $ in four bins of increasing redshift listed in the legend. Shadowed bands in matching colors indicate the interquartile ranges of the distributions.

Current usage metrics show cumulative count of Article Views (full-text article views including HTML views, PDF and ePub downloads, according to the available data) and Abstracts Views on Vision4Press platform.

Data correspond to usage on the plateform after 2015. The current usage metrics is available 48-96 hours after online publication and is updated daily on week days.

Initial download of the metrics may take a while.