Open Access

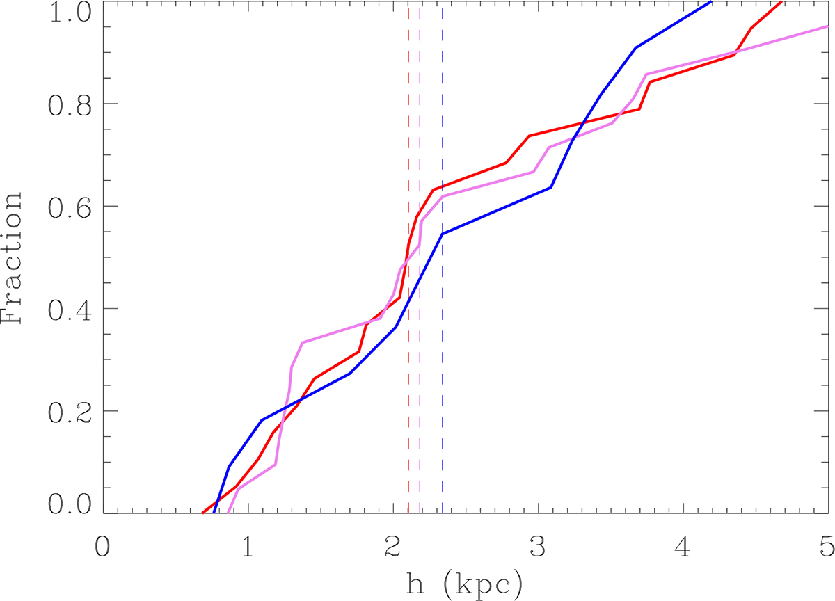
Fig. 5.

image

Download original image

Disk scale lengths in physical units for galaxies located in the cluster (red line), filament (violet line), and field (blue line) environments. Vertical dashed lines shows the median values of the disk scale lengths for galaxies in the cluster (red), filament (violet) and field (blue). The vertical lines mark the median values of the disk scale length per each galaxy sample.

Current usage metrics show cumulative count of Article Views (full-text article views including HTML views, PDF and ePub downloads, according to the available data) and Abstracts Views on Vision4Press platform.

Data correspond to usage on the plateform after 2015. The current usage metrics is available 48-96 hours after online publication and is updated daily on week days.

Initial download of the metrics may take a while.