Open Access

Fig. 13

image

Download original image

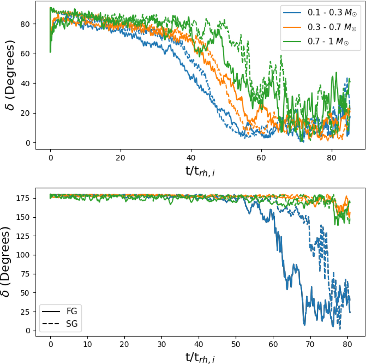
Time evolution of orientation of total internal angular momentum vectors for Delta90 (top) and Delta180 (bottom) models is shown for different mass bins and generations. Time is normalised to the initial half-mass relaxation time. Low-mass stars align with the orbital angular momentum more rapidly than higher mass stars in both models.

Current usage metrics show cumulative count of Article Views (full-text article views including HTML views, PDF and ePub downloads, according to the available data) and Abstracts Views on Vision4Press platform.

Data correspond to usage on the plateform after 2015. The current usage metrics is available 48-96 hours after online publication and is updated daily on week days.

Initial download of the metrics may take a while.