Open Access

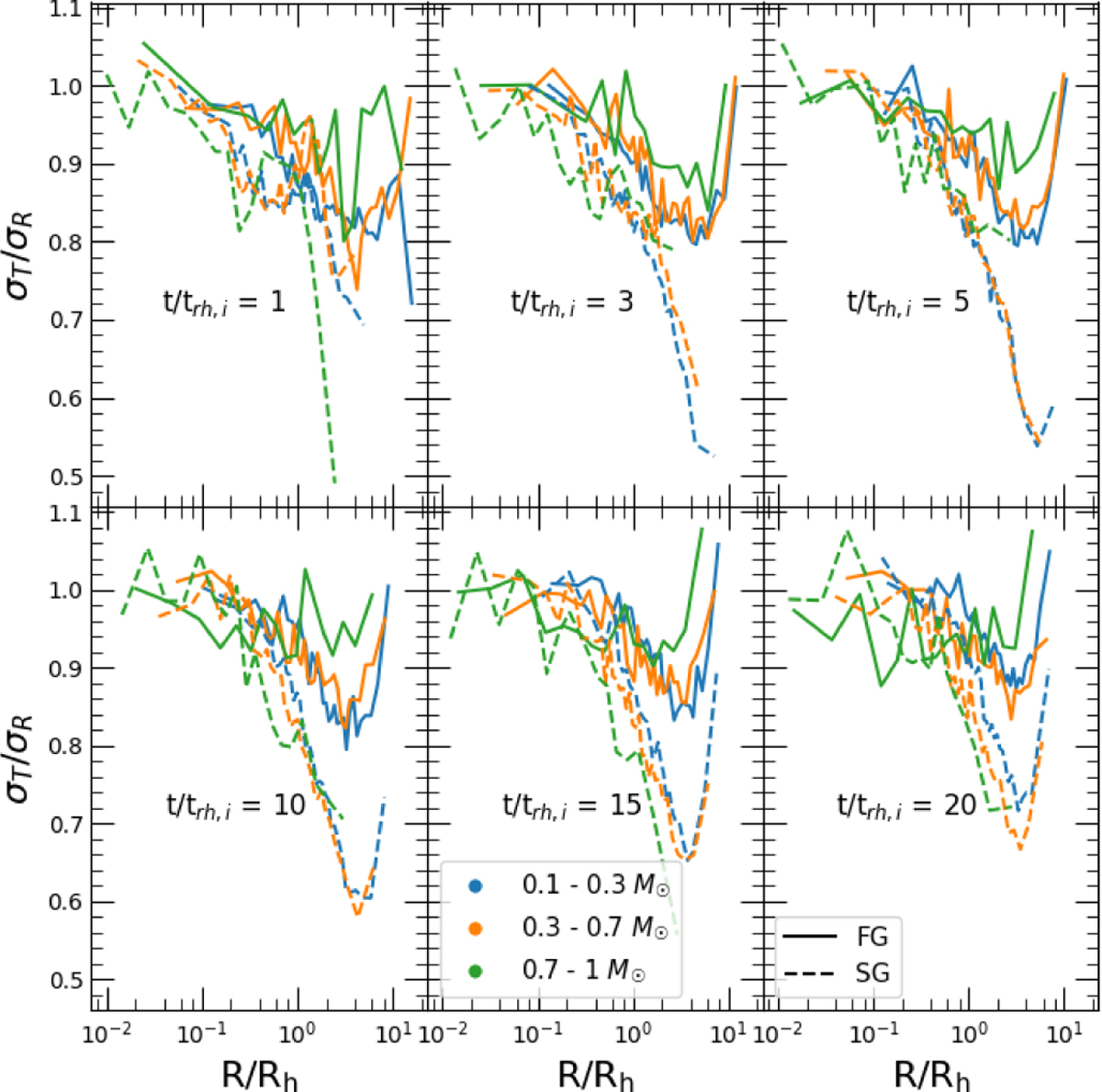
Fig. 6

image

Download original image

Radial profiles of velocity anisotropy are shown at representative times in the Delta0 model for different mass groups. Anisotropy is defined as in Fig. 3. The line of sight is the same as described in Sect. 2. Time and radius normalisations are the same as described in Fig. 2.

Current usage metrics show cumulative count of Article Views (full-text article views including HTML views, PDF and ePub downloads, according to the available data) and Abstracts Views on Vision4Press platform.

Data correspond to usage on the plateform after 2015. The current usage metrics is available 48-96 hours after online publication and is updated daily on week days.

Initial download of the metrics may take a while.