Open Access

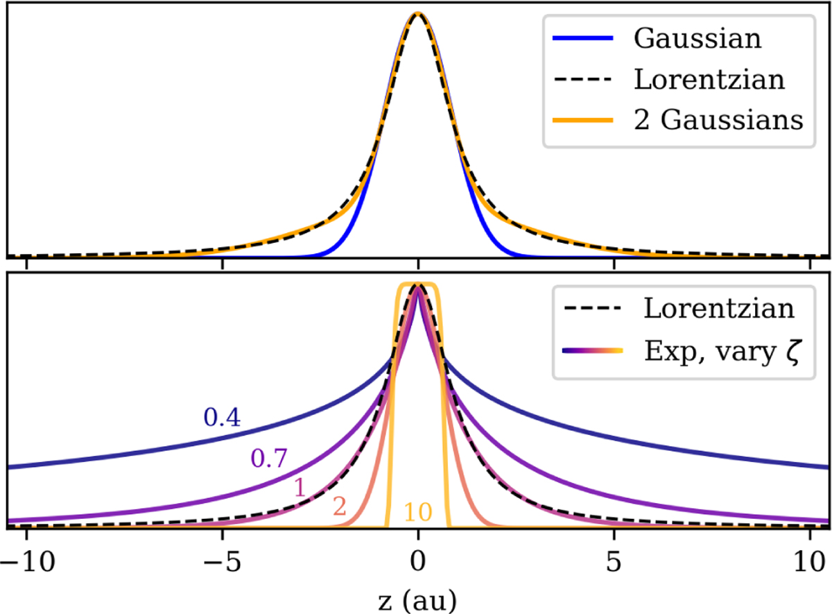
Fig. 4

image

Download original image

Top: Arbitrary Gaussian, Lorentzian, and double Gaussian profiles that demonstrate how a Lorentzian can mimic a double Gaussian without the extra model parameters. The Gaussian (blue line) and Lorentzian (black line) profiles have a FWHM of 2 au, while the double Gaussian (orange dotted line) is composed of one Gaussian with a FWHM of 1.7 au and another with a FWHM of 6 au. Bottom: Various exponential forms with different ζ (colored lines, ζ values annotated on the panel). The wings of the Lorentzian (black line) are closely matched with an exponential with ζ = 1. All profiles are normalized to the same maximum value.

Current usage metrics show cumulative count of Article Views (full-text article views including HTML views, PDF and ePub downloads, according to the available data) and Abstracts Views on Vision4Press platform.

Data correspond to usage on the plateform after 2015. The current usage metrics is available 48-96 hours after online publication and is updated daily on week days.

Initial download of the metrics may take a while.