Open Access

Fig. 7

image

Download original image

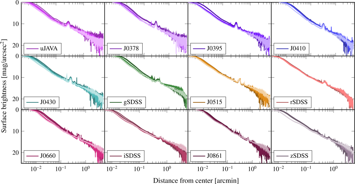
Radial profile of three different tiles in different exposures in 12 bands. The broadband PSFs have one peak while the narrowbands one have two peaks. It is due to the ring around star. The position of the ring is changed based on the filter, becoming larger from blue to red filters.

Current usage metrics show cumulative count of Article Views (full-text article views including HTML views, PDF and ePub downloads, according to the available data) and Abstracts Views on Vision4Press platform.

Data correspond to usage on the plateform after 2015. The current usage metrics is available 48-96 hours after online publication and is updated daily on week days.

Initial download of the metrics may take a while.