Open Access

Fig. 1.

image

Download original image

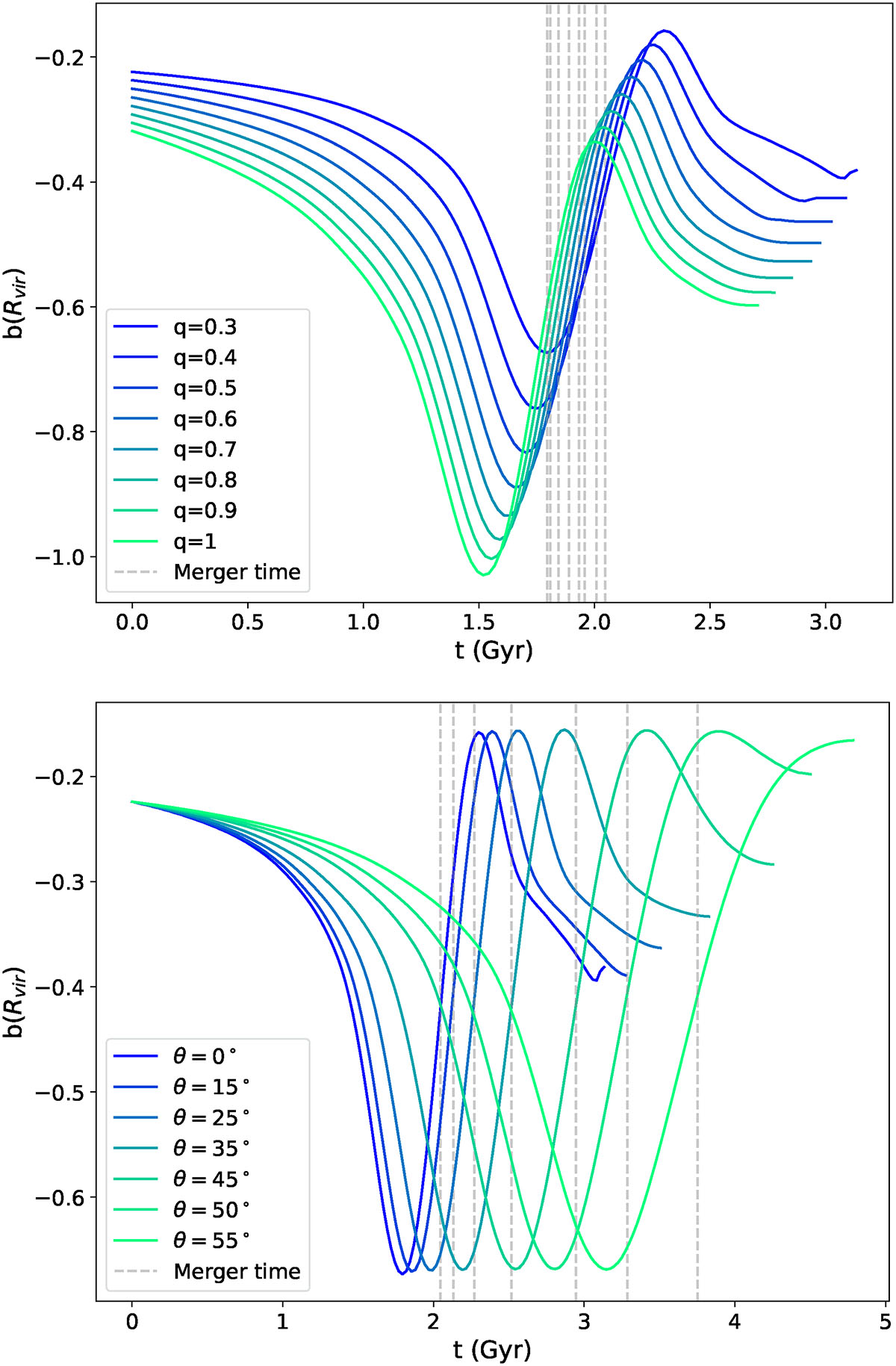
Outcome of varying the orbital parameters on the merger mock simulations. Top panel: Time evolution of the hydrostatic mass bias, evaluated at Rvir, for different values of the mass ratio q. The impact parameter is fixed to p = 0, and the horizontal axis represents the time elapsed since the beginning of the test. The vertical dashed line represents the moment at which the infalling halo centre enters the virial volume of the host. Bottom panel: Same evolution as the top figure but with a fixed mass ratio of q = 0.3 and a varying impact parameter.

Current usage metrics show cumulative count of Article Views (full-text article views including HTML views, PDF and ePub downloads, according to the available data) and Abstracts Views on Vision4Press platform.

Data correspond to usage on the plateform after 2015. The current usage metrics is available 48-96 hours after online publication and is updated daily on week days.

Initial download of the metrics may take a while.