Open Access

Fig. 4.

image

Download original image

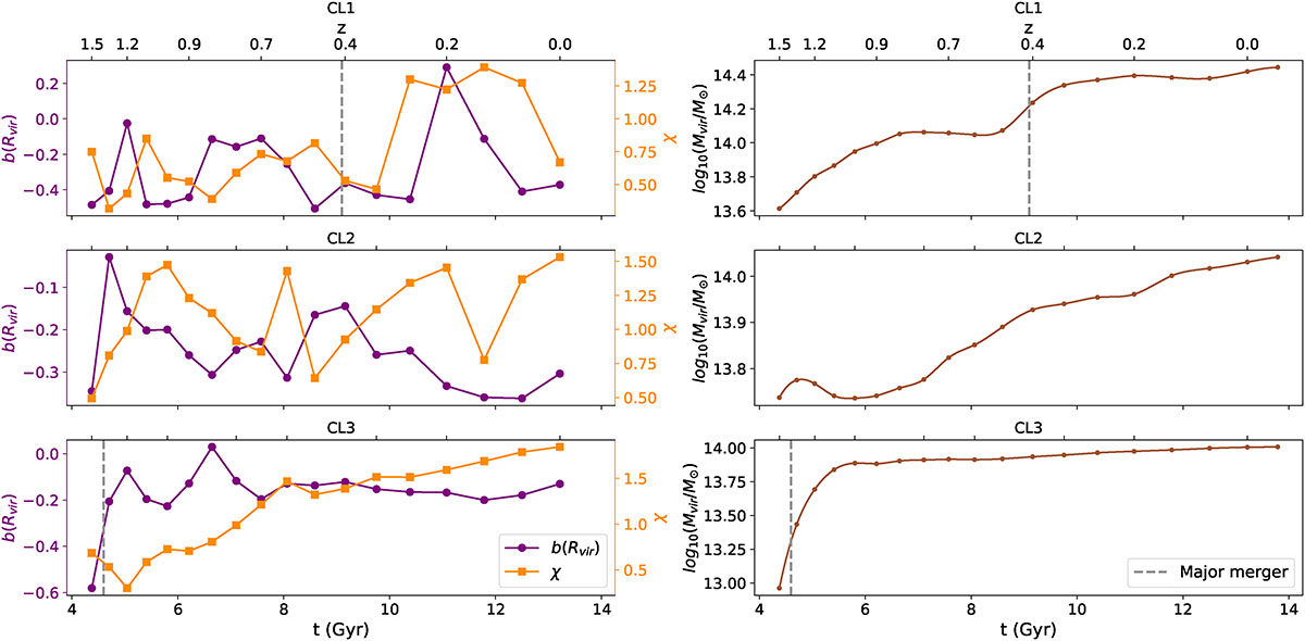
Prototypical examples of hydrostatic mass bias evolution in relation to cluster assembly, for three particular clusters from our sample. Left panels: Hydrostatic mass bias evaluated at the virial radius, b(Rvir) (purple), and of the dynamical state indicator, χ (orange). Right panels: Logarithmic mass growth history for the same period of time for the three clusters shown in the left panel. The dashed vertical lines indicate the time at which a major merger took place, in case there was any.

Current usage metrics show cumulative count of Article Views (full-text article views including HTML views, PDF and ePub downloads, according to the available data) and Abstracts Views on Vision4Press platform.

Data correspond to usage on the plateform after 2015. The current usage metrics is available 48-96 hours after online publication and is updated daily on week days.

Initial download of the metrics may take a while.