Open Access

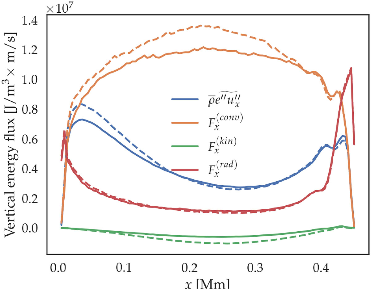
Fig. 8.

image

Download original image

Comparison between the energy flux budgets of the two simulations described in the text, the only modified parameters being the constant C1 in the Lagrangian stochastic model (solid lines: C1 = 3.5; dashed lines: C1 = 2.0). The different colours represent different terms in the energy flux budget, as indicated on the plot.

Current usage metrics show cumulative count of Article Views (full-text article views including HTML views, PDF and ePub downloads, according to the available data) and Abstracts Views on Vision4Press platform.

Data correspond to usage on the plateform after 2015. The current usage metrics is available 48-96 hours after online publication and is updated daily on week days.

Initial download of the metrics may take a while.