Open Access

Fig. 8

image

Download original image

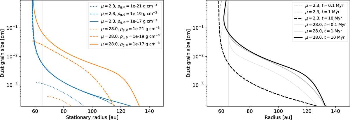
Left: stationary radii (vdrift=0) as a function of particle size, computed for different values of mean molecular weight and gas midplane density at the location of the belt (see plot legend). Right: dependence of the radial location of particles on time, assuming ρg,0=10−17 g cm−3, calculated using the steady-state drift approximation. In both panels, the horizontal grey line shows the dust release radius of 65 au. The Gaussian profile width is assumed to be the same in all calculations here (σg=15 au). For details, see Section 4.3.

Current usage metrics show cumulative count of Article Views (full-text article views including HTML views, PDF and ePub downloads, according to the available data) and Abstracts Views on Vision4Press platform.

Data correspond to usage on the plateform after 2015. The current usage metrics is available 48-96 hours after online publication and is updated daily on week days.

Initial download of the metrics may take a while.