Open Access

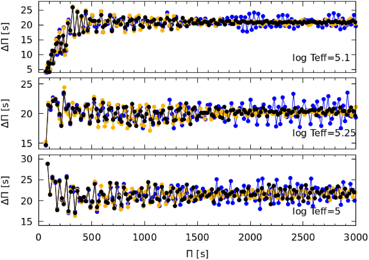
Fig. 5.

image

Download original image

Forward period spacing for the PG1159 models with masses of M = 0.58 M (Min = 1.5 M) and the three mixing prescriptions at the three different stages selected after the VLTP. As in the previous figures, blue dots correspond to MLT, orange dots to MLT♯, and black dots to GNA.

Current usage metrics show cumulative count of Article Views (full-text article views including HTML views, PDF and ePub downloads, according to the available data) and Abstracts Views on Vision4Press platform.

Data correspond to usage on the plateform after 2015. The current usage metrics is available 48-96 hours after online publication and is updated daily on week days.

Initial download of the metrics may take a while.