Open Access

Fig. 2

image

Download original image

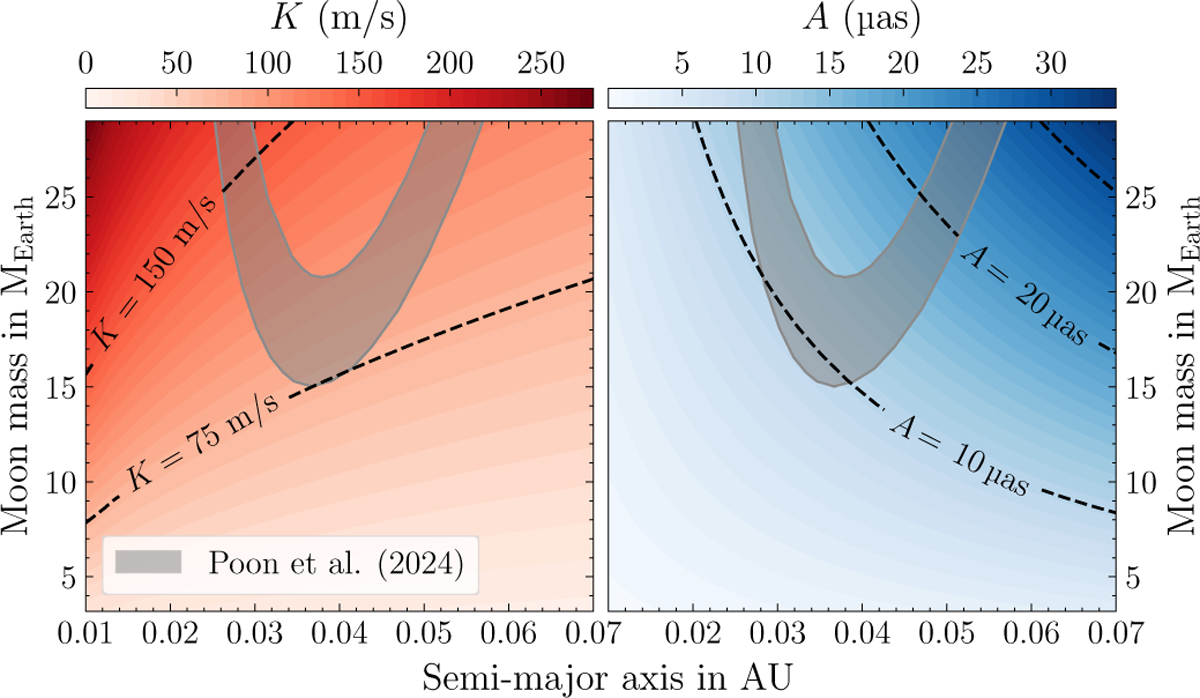
Signal amplitudes in the vicinity of the putative exomoon around β Pic b suggested by Poon et al. (2024) as a function of moon mass and semi-major axis for RV studies on the left and astrometric searches on the right. The grey shaded region is the parameter space where a P24-moon is likely to reside if it is indeed real. The dashed lines indicate contours delineating the provided signal strengths.

Current usage metrics show cumulative count of Article Views (full-text article views including HTML views, PDF and ePub downloads, according to the available data) and Abstracts Views on Vision4Press platform.

Data correspond to usage on the plateform after 2015. The current usage metrics is available 48-96 hours after online publication and is updated daily on week days.

Initial download of the metrics may take a while.