Open Access

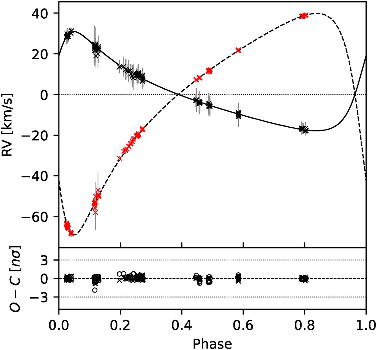
Fig. 2.

image

Download original image

Upper: RV curve of the outer orbit. Black x-signs with grey error bars correspond to the RVs of the inner eclipsing binary centre of mass, while the red x-signs with grey error bars (in some cases too small to be seen) are the RVs of the outer component. The systemic velocity, vγ, has been subtracted from the RVs. Lower: O − C residuals in the units of σ for each individual point.

Current usage metrics show cumulative count of Article Views (full-text article views including HTML views, PDF and ePub downloads, according to the available data) and Abstracts Views on Vision4Press platform.

Data correspond to usage on the plateform after 2015. The current usage metrics is available 48-96 hours after online publication and is updated daily on week days.

Initial download of the metrics may take a while.