Open Access

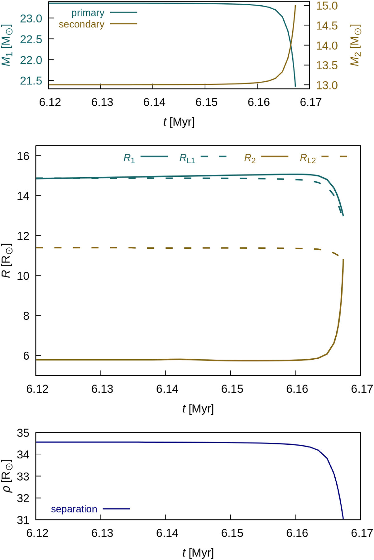
Fig. 8.

image

Download original image

Evolution of the binary masses, radii, and orbital separation between the onset of mass transfer and the common-envelope phase. The mass transfer is dynamically unstable (runaway) because the donor overfills its Roche lobe more and more. Such mass transfer will lead to a common envelope phase and is likely to result in a merger.

Current usage metrics show cumulative count of Article Views (full-text article views including HTML views, PDF and ePub downloads, according to the available data) and Abstracts Views on Vision4Press platform.

Data correspond to usage on the plateform after 2015. The current usage metrics is available 48-96 hours after online publication and is updated daily on week days.

Initial download of the metrics may take a while.