Open Access

Fig. 4

image

Download original image

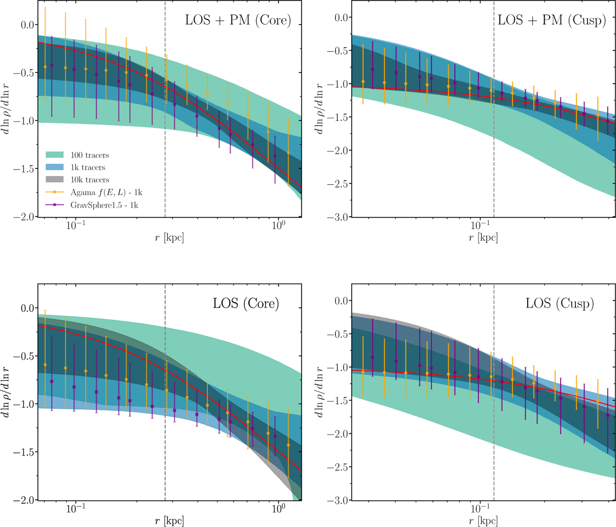
GRAVSPHERE2 recovery of the logarithmic density slope profile for the GAIA CHALLENGE mock galaxies. Upper panels include LOS and PM tracers, whilst lower panels include only LOS ones. The left panels correspond to the PlumCoreOM case, whilst the right ones to the PlumCuspOM case. The bands, errors and results presented follow the same notation as Fig. 1.

Current usage metrics show cumulative count of Article Views (full-text article views including HTML views, PDF and ePub downloads, according to the available data) and Abstracts Views on Vision4Press platform.

Data correspond to usage on the plateform after 2015. The current usage metrics is available 48-96 hours after online publication and is updated daily on week days.

Initial download of the metrics may take a while.