Open Access

Fig. 3

image

Download original image

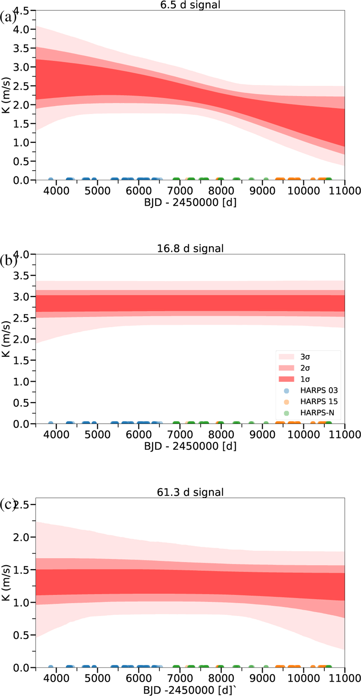
Apodized test for the three planets orbiting around HD 176986. Color-coded dots represent the epochs of observations of different instruments. Panel a: apodized signal for the 6.5 d planet found in Suárez Mascareño et al. (2018). The signal is stable throughout the time series, but it shows a different amplitude at different epochs. Panel b: apodized signal for the 16.8 d planet. The signal is present in the full dataset and it is stable over time. Panel c: Apodized signal for the 61.4 d candidate. The signal is stable over time.

Current usage metrics show cumulative count of Article Views (full-text article views including HTML views, PDF and ePub downloads, according to the available data) and Abstracts Views on Vision4Press platform.

Data correspond to usage on the plateform after 2015. The current usage metrics is available 48-96 hours after online publication and is updated daily on week days.

Initial download of the metrics may take a while.