Open Access

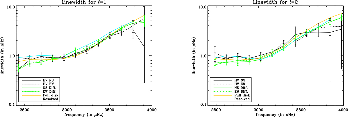
Fig. 21.

image

Download original image

Mode linewidth as a function of frequency for the l= 1 modes (left) and for the l= 2 modes (right) for different signals: north-south high-voltage (continuous line), east-west high-voltage (Dash-dotted line), north-south scientific pixels difference (green continuous line), east-west scientific pixels difference (green dash-dotted line), FD (orange line), resolved (cyan line).

Current usage metrics show cumulative count of Article Views (full-text article views including HTML views, PDF and ePub downloads, according to the available data) and Abstracts Views on Vision4Press platform.

Data correspond to usage on the plateform after 2015. The current usage metrics is available 48-96 hours after online publication and is updated daily on week days.

Initial download of the metrics may take a while.