Open Access

Fig. 2

image

Download original image

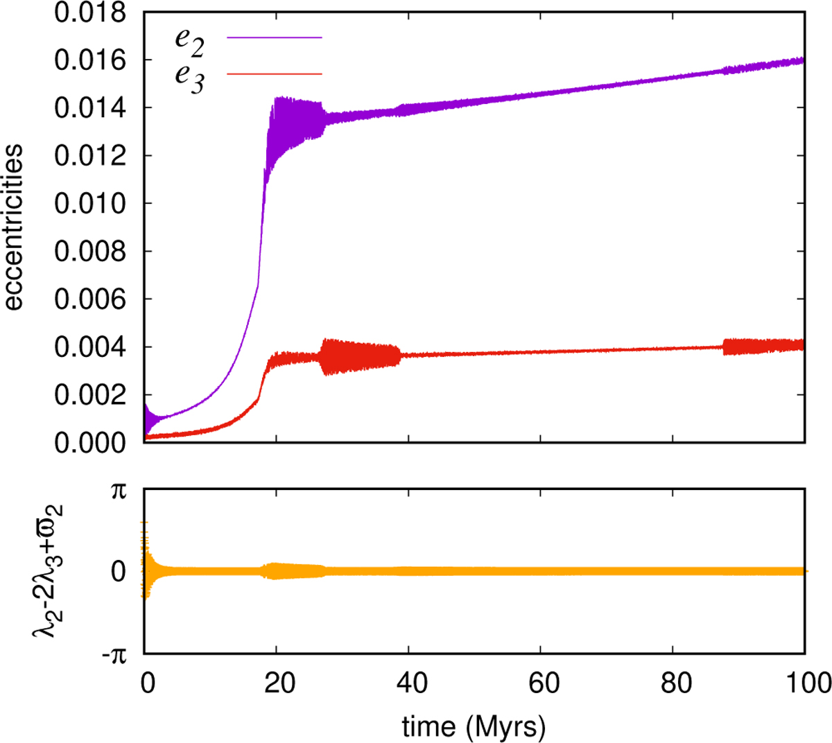
Top: evolution of the eccentricities of Ariel and Umbriel during the capture into the 2:1 mean motion resonance. Bottom: libration of the 2:1 resonant argument. This evolution was obtained setting tα,2 = 2.3 Gyr, Q2 = 100 (k2,2 = 0.15), and initial semimajor axes a2 = 6.150 RU and a3 = 9.841 RU.

Current usage metrics show cumulative count of Article Views (full-text article views including HTML views, PDF and ePub downloads, according to the available data) and Abstracts Views on Vision4Press platform.

Data correspond to usage on the plateform after 2015. The current usage metrics is available 48-96 hours after online publication and is updated daily on week days.

Initial download of the metrics may take a while.