Open Access

Fig. 2

image

Download original image

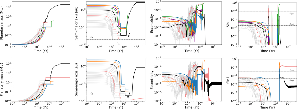
Evolution of the planetary mass, semi-major axis, eccentricity, and inclination of the planetary seeds (gray lines) in systems where a single giant planet forms (top row), and where a close-in rocky planet forms together with a cold giant planet (bottom row). We show the evolution of the giant planet (black line) and the evolutions the other planets that survived in the system (colored lines) before the more massive planet became a giant planet. The inner edge of the disk, rin, is indicated (horizontal dashed black line). The location of the innermost planet (pink line) is marked with an arrow for comparison with the inner edge of the disk. The gas aspect ratio, hgas (dotted black lines), and the pebble aspect ratio, hpeb (dotted-dashed black lines), are also overplotted, evaluated at a=0.02 au and a=2 au.

Current usage metrics show cumulative count of Article Views (full-text article views including HTML views, PDF and ePub downloads, according to the available data) and Abstracts Views on Vision4Press platform.

Data correspond to usage on the plateform after 2015. The current usage metrics is available 48-96 hours after online publication and is updated daily on week days.

Initial download of the metrics may take a while.