Open Access

Fig. 11.

image

Download original image

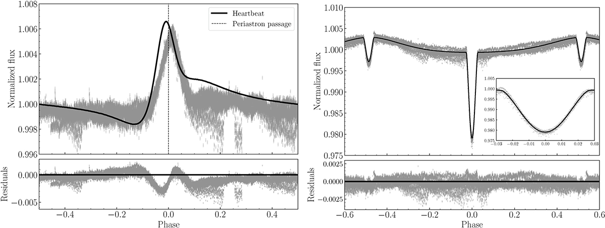
Left: Phase folded flux of binary A after subtraction of eclipsing model for ephemeris T0,  perpass = RJD59995.6424 + 8.23459 × E. Maximum of flux occurs shortly after the periastron passage. Right: Light curve of binary B from TESS without heartbeat from binary A. Ephemeris of T0,  supconj = RJD58627.15594 + 5.8528657 × E is used. Both available sectors 12 and 65 were used in all plots and are normalized to the median value per sector.

Current usage metrics show cumulative count of Article Views (full-text article views including HTML views, PDF and ePub downloads, according to the available data) and Abstracts Views on Vision4Press platform.

Data correspond to usage on the plateform after 2015. The current usage metrics is available 48-96 hours after online publication and is updated daily on week days.

Initial download of the metrics may take a while.