Open Access

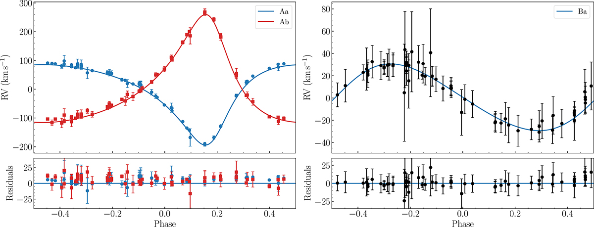
Fig. 6.

image

Download original image

Left: PHOEBE 2 model of primary component Aa (blue) and secondary component Ab (red) of binary A, using RVs calculated from KOREL as a mean of He I 4923, 5016, 6678 Å, and Hβ. Ephemeris of T0,  perpass = RJD59995.64 + 8.23447 × E is used. Right: PHOEBE 2 model of primary component Ba of an eclipsing binary B, using radial velocities calculated from KOREL as mean of He I lines, Hα, and Hβ. Ephemeris of T0,  supconj = RJD58627.15 + 5.852864 × E is used. Error bars are shown as a standard deviation of RVs computed from selected lines. RVs are corrected for systemic gamma velocities calculated for each segment of observations.

Current usage metrics show cumulative count of Article Views (full-text article views including HTML views, PDF and ePub downloads, according to the available data) and Abstracts Views on Vision4Press platform.

Data correspond to usage on the plateform after 2015. The current usage metrics is available 48-96 hours after online publication and is updated daily on week days.

Initial download of the metrics may take a while.