Open Access

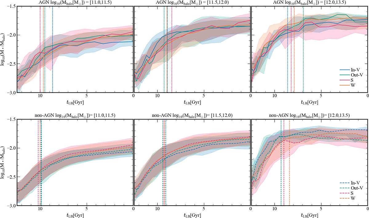
Fig. 8.

image

Download original image

Evolution of M*Mhalo ratio over look-back time for AGN (top panel) and non-AGN (bottom panel) host galaxies. The look-back times at which the haloes reached 50 per cent of its final halo mass are included (dashed lines). From left to right: Increasing Mhalo bins.

Current usage metrics show cumulative count of Article Views (full-text article views including HTML views, PDF and ePub downloads, according to the available data) and Abstracts Views on Vision4Press platform.

Data correspond to usage on the plateform after 2015. The current usage metrics is available 48-96 hours after online publication and is updated daily on week days.

Initial download of the metrics may take a while.