Open Access

Fig. 4

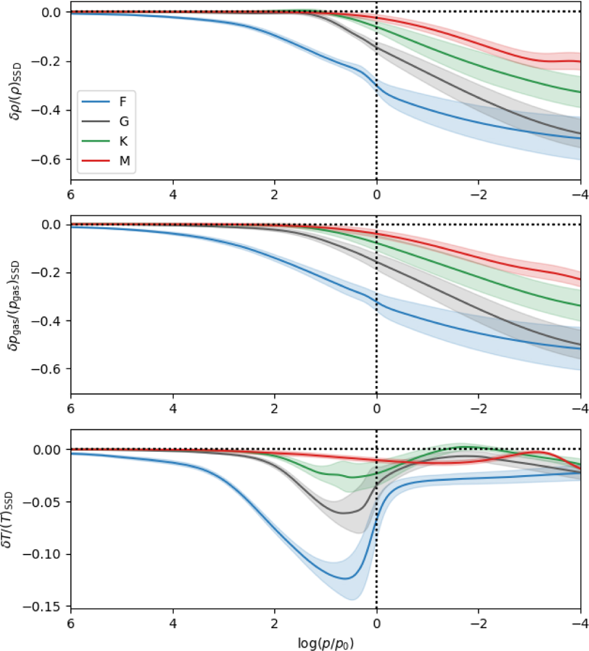
Fig. 4 Refer to the following caption and surrounding text.

Download original image

Changes in density, ρ (top), gas pressure, pgas (middle), and temperature, T (bottom), for the 300 G case relative to the SSD case for all four stellar types in percent (%). The error bands represent the 1σ variation in time for the horizontal means. All subsequent error bands have the same meaning.

Current usage metrics show cumulative count of Article Views (full-text article views including HTML views, PDF and ePub downloads, according to the available data) and Abstracts Views on Vision4Press platform.

Data correspond to usage on the plateform after 2015. The current usage metrics is available 48-96 hours after online publication and is updated daily on week days.

Initial download of the metrics may take a while.