Open Access

Fig. 4

image

Download original image

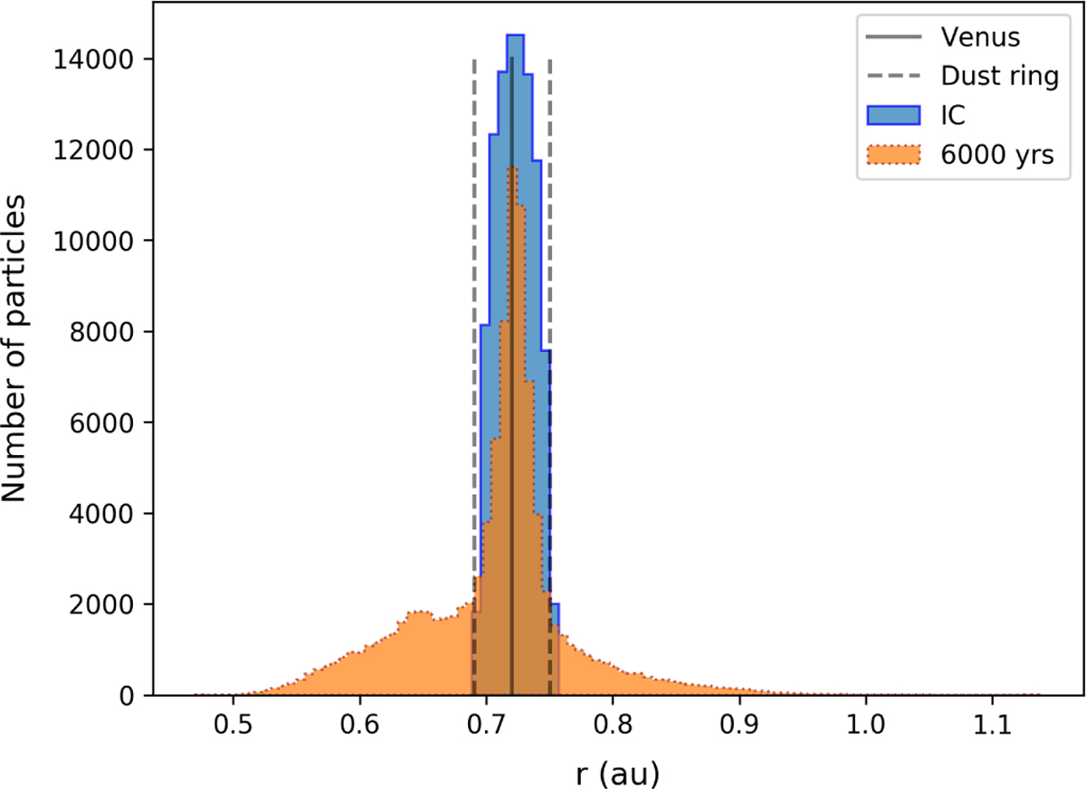
Histogram of the distribution of the particles on the r values. The data in blue (‘IC’; solid outline) are the initial conditions, meaning they represent the particles before the integration (IC2). The data in orange (dotted outline) represent the same particles but 6000 years later. The black line in the middle represents Venus at the end of the integration. The dashed lines around it underline the theoretical limits of the ring, as described in Sect. 2.

Current usage metrics show cumulative count of Article Views (full-text article views including HTML views, PDF and ePub downloads, according to the available data) and Abstracts Views on Vision4Press platform.

Data correspond to usage on the plateform after 2015. The current usage metrics is available 48-96 hours after online publication and is updated daily on week days.

Initial download of the metrics may take a while.