Open Access

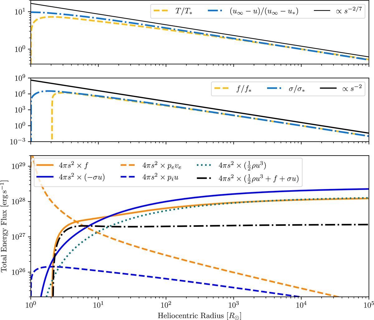
Fig. 3.

image

Download original image

Asymptotic profiles of the constraint satisfying solution plotted with respect to heliocentric radius (s). Top panel: Profiles of T/T*, (u − u)/(u − u*), and an s−2/7 power law for reference. Middle panel: Profiles of f/f*, and σ/σ*, with an s−2 power law for reference. In both cases, the computed solutions are in good agreement with the representative power laws in the asymptotic region (r ≳ 104R). Bottom panel: Total energy flux associated with heat conduction (f), viscous stress (σu), bulk kinetic energy (ρu3/2), as well as saturation limits associated with free-streaming of electrons (peve) and ion thermal energy density (piu). The total energy flux, which is proportional to the sum of (ρu3/2 + f + σu), is shown in the black dashed-dotted curve.

Current usage metrics show cumulative count of Article Views (full-text article views including HTML views, PDF and ePub downloads, according to the available data) and Abstracts Views on Vision4Press platform.

Data correspond to usage on the plateform after 2015. The current usage metrics is available 48-96 hours after online publication and is updated daily on week days.

Initial download of the metrics may take a while.