Open Access

Fig. 1.

image

Download original image

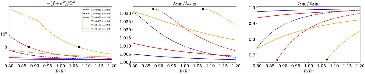
Extended MRI analysis for the analytical model given by a vertical magnetic field with radial power-law decay in Eq. (25). Left: Generalized instability criterion. Middle: Comparison between the generalized and standard MRI for the wavelength of the fastest-growing mode. Right: Timescale of the instability. We have considered the values with n = 2,  4 and C = 0.01,  0.025,  0.1 in the model defined by Eq. (25). The wavelength and timescale are shown only when the instability is active according to the generalized criterion, a transition that is marked with black dots.

Current usage metrics show cumulative count of Article Views (full-text article views including HTML views, PDF and ePub downloads, according to the available data) and Abstracts Views on Vision4Press platform.

Data correspond to usage on the plateform after 2015. The current usage metrics is available 48-96 hours after online publication and is updated daily on week days.

Initial download of the metrics may take a while.