Open Access

Fig. B.1.

image

Download original image

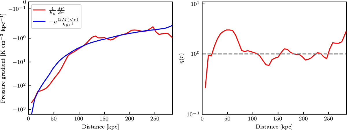
Radial profile of the pressure and gravitational terms in the hydrostatic equilibrium equation (left panel) and their ratio η(r) (right panel) in the 17_11 MW halo gas at temperatures above 106 K.

Current usage metrics show cumulative count of Article Views (full-text article views including HTML views, PDF and ePub downloads, according to the available data) and Abstracts Views on Vision4Press platform.

Data correspond to usage on the plateform after 2015. The current usage metrics is available 48-96 hours after online publication and is updated daily on week days.

Initial download of the metrics may take a while.