Open Access

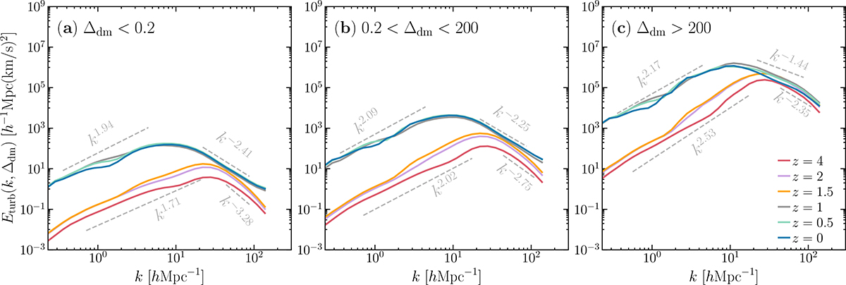
Fig. 4.

image

Download original image

z-evolution of environment-dependent wavelet energy spectra of turbulence. Panels (a), (b), and (c) show the energy spectra of three intervals of dark matter density (Δdm), as marked. The energy spectra Eturb(k, δ) are obtained from the env-WPS in Eq. (9) as Eturb(k, δ) = k2Sturb(k, δ). The relevant power-law fits for the scale ranges that are smaller and larger than the peak positions (kpeak) are indicated.

Current usage metrics show cumulative count of Article Views (full-text article views including HTML views, PDF and ePub downloads, according to the available data) and Abstracts Views on Vision4Press platform.

Data correspond to usage on the plateform after 2015. The current usage metrics is available 48-96 hours after online publication and is updated daily on week days.

Initial download of the metrics may take a while.