Open Access

Fig. 7.

image

Download original image

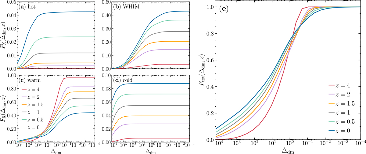
Cumulative mass fraction as a function of dark matter density. The cumulative mass fraction (Fx) is presented for hot gas (a), the WHIM (b), warm gas (c), and the cold component (d). The total cumulative mass fraction (Ftot) is shown in panel (e). Both Fx and Ftot are functions of dark matter density (Δdm) and redshift (z). The subscript “x” can be replaced with “hot”, “WHIM”, “warm”, or “cold” as required.

Current usage metrics show cumulative count of Article Views (full-text article views including HTML views, PDF and ePub downloads, according to the available data) and Abstracts Views on Vision4Press platform.

Data correspond to usage on the plateform after 2015. The current usage metrics is available 48-96 hours after online publication and is updated daily on week days.

Initial download of the metrics may take a while.