Open Access

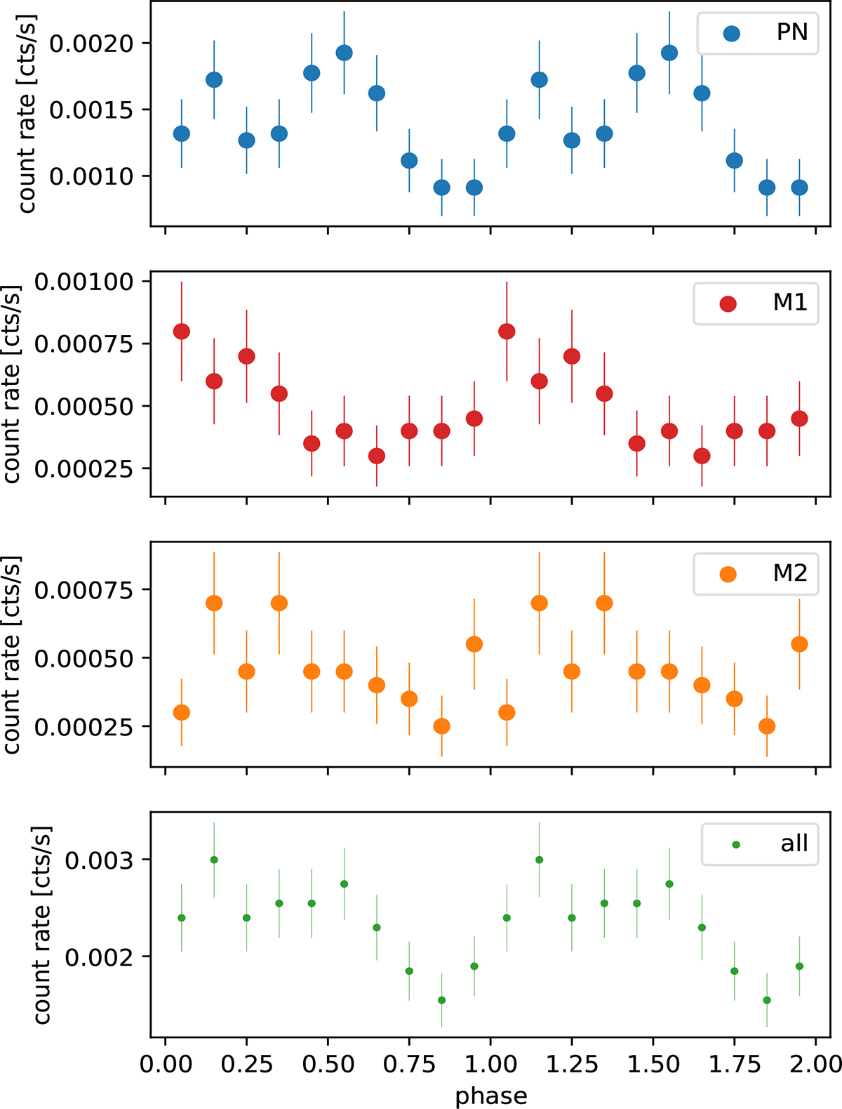
Fig. 14.

image

Download original image

Phase-folded light curve for the XMM-Newton EPIC-pn and MOS data. Barycenter-corrected events have been folded on the photometric rotation period, with the ephemeris defined for the epoch of the XMM observations, such that phase zero is consistent with all other plots in the paper (the minimum in the optical light curve).

Current usage metrics show cumulative count of Article Views (full-text article views including HTML views, PDF and ePub downloads, according to the available data) and Abstracts Views on Vision4Press platform.

Data correspond to usage on the plateform after 2015. The current usage metrics is available 48-96 hours after online publication and is updated daily on week days.

Initial download of the metrics may take a while.