Open Access

Fig. 4.

image

Download original image

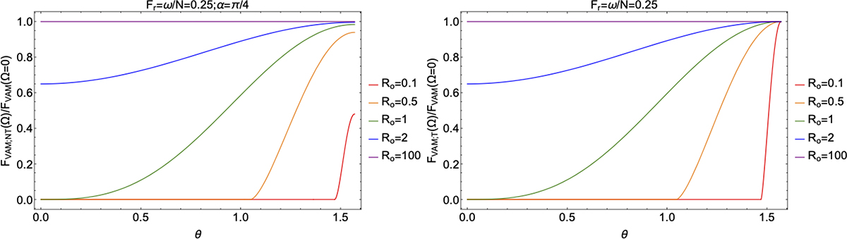
Ratio of the vertical flux of momentum computed with the full Coriolis acceleration (left panel) and assuming the TAR (right panel) with its value computed in the non-rotating case (with Ω ≡ 0) as a function of the colatitude (θ) for a fixed value of the Froude wave number (Fr = ω/N = 0.25) and different values of the wave Rossby number (Ro = {0.1,0.5,1,2,100}). In the NT case, we fixed α = π/4.

Current usage metrics show cumulative count of Article Views (full-text article views including HTML views, PDF and ePub downloads, according to the available data) and Abstracts Views on Vision4Press platform.

Data correspond to usage on the plateform after 2015. The current usage metrics is available 48-96 hours after online publication and is updated daily on week days.

Initial download of the metrics may take a while.