Open Access

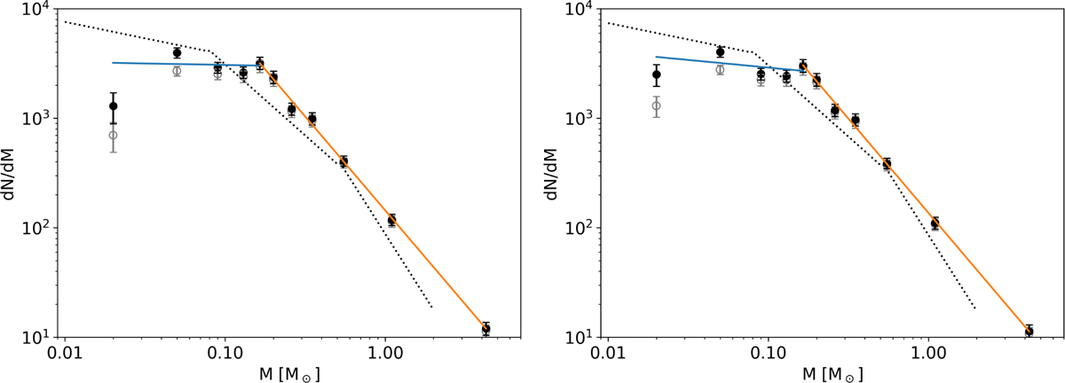
Fig. 9

image

Download original image

dN/dM representation of the IMF of Tr 14 after decontaminating with the Besançon model CF (left panel) and the VISTA CF (right panel). Black dots with corresponding uncertainties are after correcting for completeness, while grey circles are the bins before the correction. The dotted black line represents the standard mass function from Kroupa (2001). The power-law break is at ∼0.2 M. For the solid blue line fit in the left panel, we get the slope of α = 0.03 ± 0.24, and for the solid orange line α = 1.72 ± 0.04. For the solid blue line fit in the right panel we get a slope of α = 0.14 ± 0.19 and for the solid orange line α = 1.72 ± 0.04.

Current usage metrics show cumulative count of Article Views (full-text article views including HTML views, PDF and ePub downloads, according to the available data) and Abstracts Views on Vision4Press platform.

Data correspond to usage on the plateform after 2015. The current usage metrics is available 48-96 hours after online publication and is updated daily on week days.

Initial download of the metrics may take a while.