Open Access

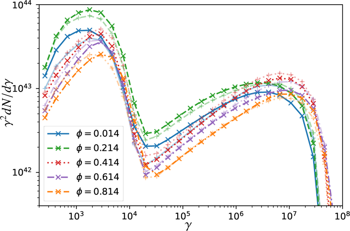
Fig. 4

image

Download original image

Evolution of the domain-integrated spectral energy distributions of the energetic particles for the second and the third (at a lower opacity and using + as a marker) orbit of the simulation. Spectra are given as a function of the particle’s Lorentz factor.

Current usage metrics show cumulative count of Article Views (full-text article views including HTML views, PDF and ePub downloads, according to the available data) and Abstracts Views on Vision4Press platform.

Data correspond to usage on the plateform after 2015. The current usage metrics is available 48-96 hours after online publication and is updated daily on week days.

Initial download of the metrics may take a while.