Open Access

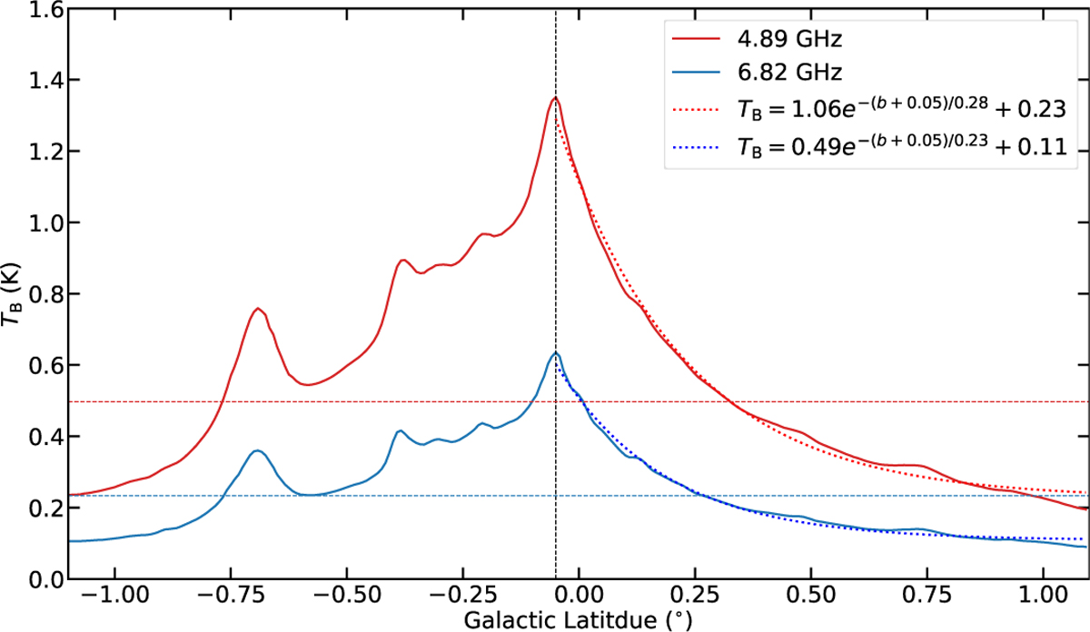
Fig. B.1

image

Download original image

Mean brightness temperature profile as a function of Galactic latitude. The vertical dashed line indicates the latitude of maximum intensity. The two horizontal lines mark the 1/e levels of the peak intensities at the two bands. The dotted lines indicate the corresponding exponential fits to the profiles.

Current usage metrics show cumulative count of Article Views (full-text article views including HTML views, PDF and ePub downloads, according to the available data) and Abstracts Views on Vision4Press platform.

Data correspond to usage on the plateform after 2015. The current usage metrics is available 48-96 hours after online publication and is updated daily on week days.

Initial download of the metrics may take a while.