Open Access

Fig. 10

image

Download original image

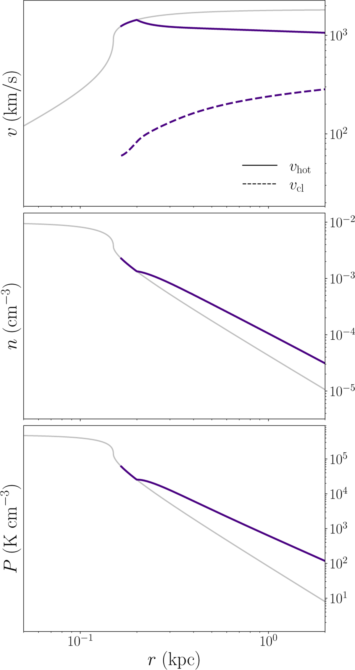
Velocity (top), density (center), and pressure (bottom) profiles of a hot-wind model (solid curves) consistent with the best-fit models found in Section 4. In gray, we report a model where the exchange of mass and momentum with the clouds has no effect on the hot phase, while in purple we show the results from the same model, but taking into account the full framework of FB22. The dashed purple curve in the top panel shows the corresponding radial velocity of the cold clouds for such a model.

Current usage metrics show cumulative count of Article Views (full-text article views including HTML views, PDF and ePub downloads, according to the available data) and Abstracts Views on Vision4Press platform.

Data correspond to usage on the plateform after 2015. The current usage metrics is available 48-96 hours after online publication and is updated daily on week days.

Initial download of the metrics may take a while.