Open Access

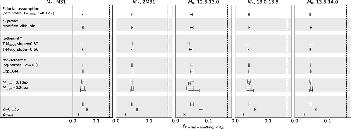
Fig. B.2.

image

Download original image

fX − ray − emitting, < Rvir values derived from the SX profiles measured by Zhang et al. (2024), under the different assumptions listed in Table B.1 and Table B.2. Results are shown for galaxies in stellar mass bins log(M*/M) = 11.0 − 11.25 (M31), log(M*/M) = 11.25 − 11.5 (2M31), as well as for halo mass bins log(M200m/M) = 12.5 − 13.0, log(M200m/M) = 13.0 − 13.5, and log(M200m/M) = 13.5 − 14.0. The vertical dashed line indicates the cosmological baryon fraction (fb = 0.157).

Current usage metrics show cumulative count of Article Views (full-text article views including HTML views, PDF and ePub downloads, according to the available data) and Abstracts Views on Vision4Press platform.

Data correspond to usage on the plateform after 2015. The current usage metrics is available 48-96 hours after online publication and is updated daily on week days.

Initial download of the metrics may take a while.