Open Access

Fig. 5

image

Download original image

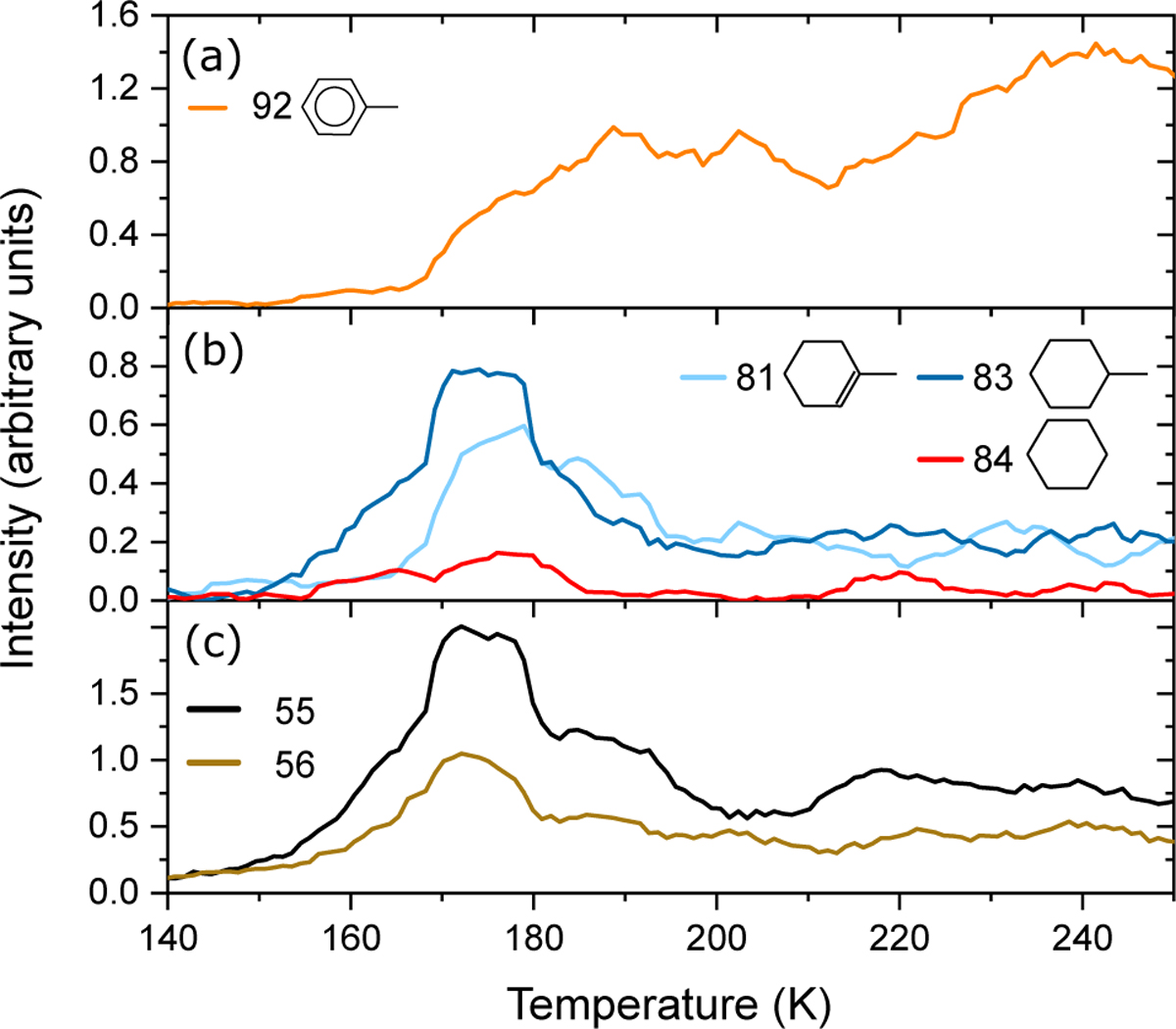
TPD traces for key species obtained following exposure of toluene to a high H-atom fluence of 25.9 × 1018 cm−2. (a) TPD trace for toluene (92 amu) in orange. (b) TPD traces on a different y-axis scale for partially hydrogenated toluene (parent mass 96 amu, main fragment 81 amu) in light blue and methyl-cyclohexane (parent mass 98 amu, main fragment 83 amu) in dark blue and cyclohexane (84 amu) in red. The cyclohexane desorbs over a range of temperatures starting from 160 K. (c) Shared QMS fragments of mass 55 and 56 amu that are fragments of the hydrogenated toluene species and cyclohexane.

Current usage metrics show cumulative count of Article Views (full-text article views including HTML views, PDF and ePub downloads, according to the available data) and Abstracts Views on Vision4Press platform.

Data correspond to usage on the plateform after 2015. The current usage metrics is available 48-96 hours after online publication and is updated daily on week days.

Initial download of the metrics may take a while.