Open Access

Fig. 7

image

Download original image

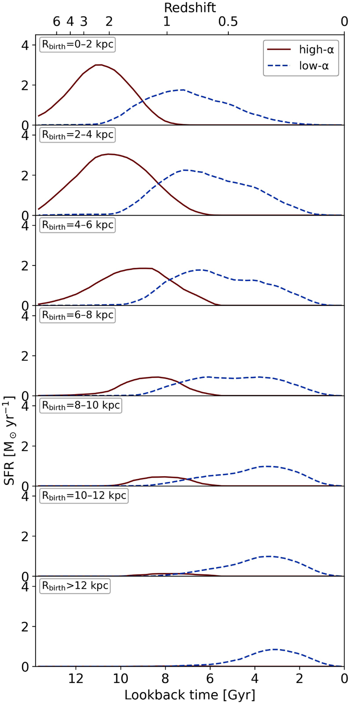
Spatial SFR of the high- (solid lines) and low-α (dashed lines) sequences. The high-α sequence formed in the inner disc (<10 kpc) and its bulk SFR moved outwards until finishing 6 Gyr ago. The low-α sequence began forming in the inner disc 8–10 Gyr ago and moved outwards with time. The overlap at a given radius and time between the sequences stems from the age uncertainty (see Fig. A.4.).

Current usage metrics show cumulative count of Article Views (full-text article views including HTML views, PDF and ePub downloads, according to the available data) and Abstracts Views on Vision4Press platform.

Data correspond to usage on the plateform after 2015. The current usage metrics is available 48-96 hours after online publication and is updated daily on week days.

Initial download of the metrics may take a while.