Open Access

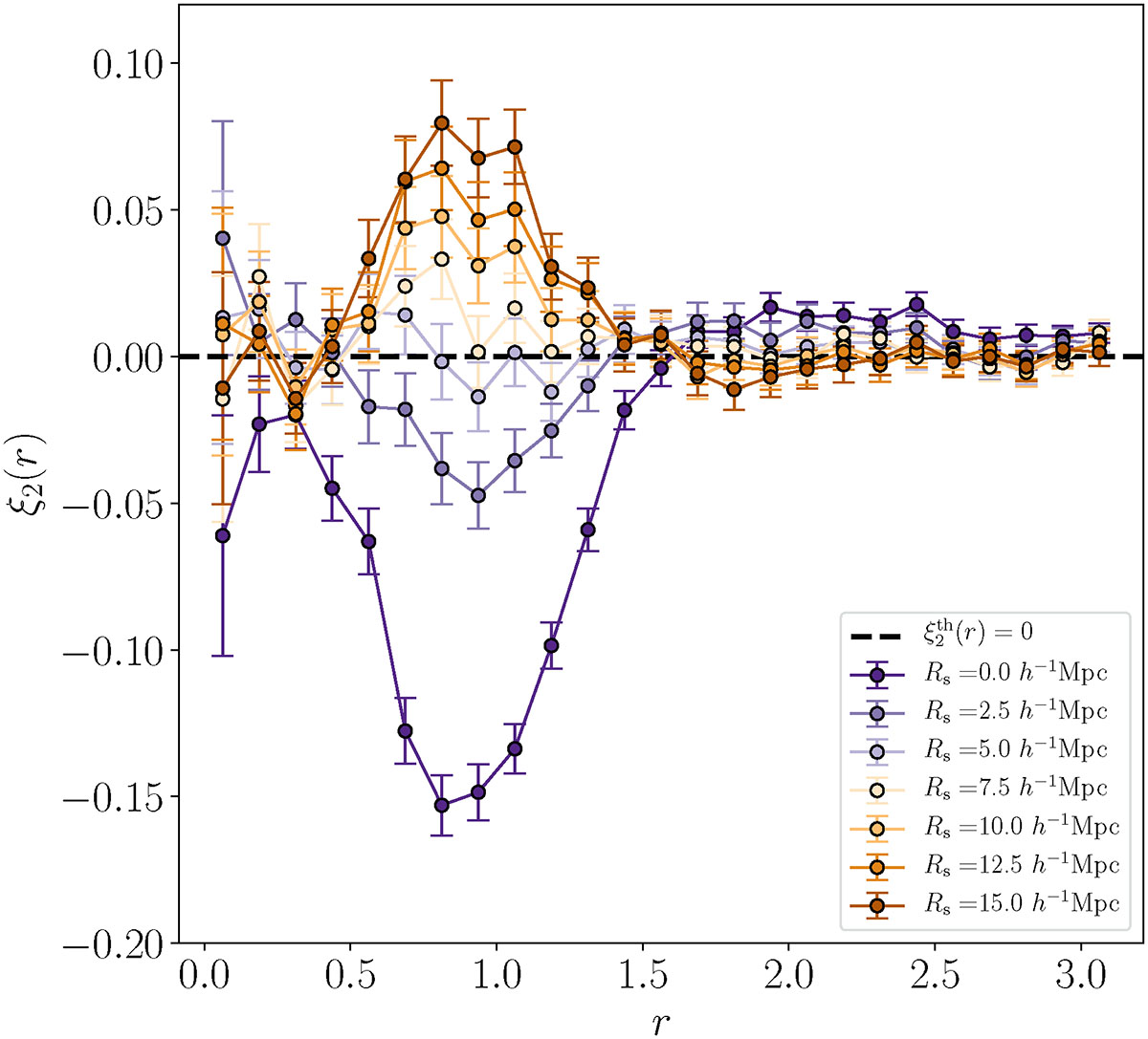
Fig. A.1.

image

Download original image

Quadrupole of the VGCF computed with reconstructed data, for different choices of the fixed smoothing scale Rs used in the reconstruction procedure. Error bars are computed as the diagonal of the covariance matrix. The choice Rs = 5.0 h−1Mpc results in an isotropic correlation function, corresponding in a measured quadrupole matching with the dashed black line, which is the expected zero quadrupole ξ2th = 0. Residual anisotropies are seen for other values of Rs. The quadrupole moment, and consequently the effect of Rs, is accentuated near the edge of the void due to the presence of nonlinearities caused by a higher density contrast.

Current usage metrics show cumulative count of Article Views (full-text article views including HTML views, PDF and ePub downloads, according to the available data) and Abstracts Views on Vision4Press platform.

Data correspond to usage on the plateform after 2015. The current usage metrics is available 48-96 hours after online publication and is updated daily on week days.

Initial download of the metrics may take a while.