Open Access

Fig. A.3.

image

Download original image

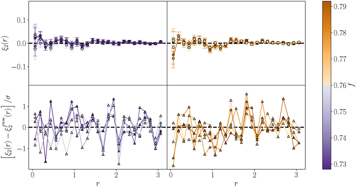
Top Panel: Quadrupole ξ2 of the stacked void-galaxy cross-correlation function computed with voids and halos in reconstructed space, where reconstruction is computed with different values of f, separating the values of f < ftrue (left) and f > ftrue (right). Bottom Panel: Residuals between the quadrupoles of the top panel and the reference quadrupole computed with the fiducial cosmology of the simulation ξ2f = true, separating the values of f < ftrue (left) and f > ftrue (right). The color bar indicates the different values of f. Error bars are computed with the diagonals of the jackknife covariance matrices.

Current usage metrics show cumulative count of Article Views (full-text article views including HTML views, PDF and ePub downloads, according to the available data) and Abstracts Views on Vision4Press platform.

Data correspond to usage on the plateform after 2015. The current usage metrics is available 48-96 hours after online publication and is updated daily on week days.

Initial download of the metrics may take a while.