Open Access

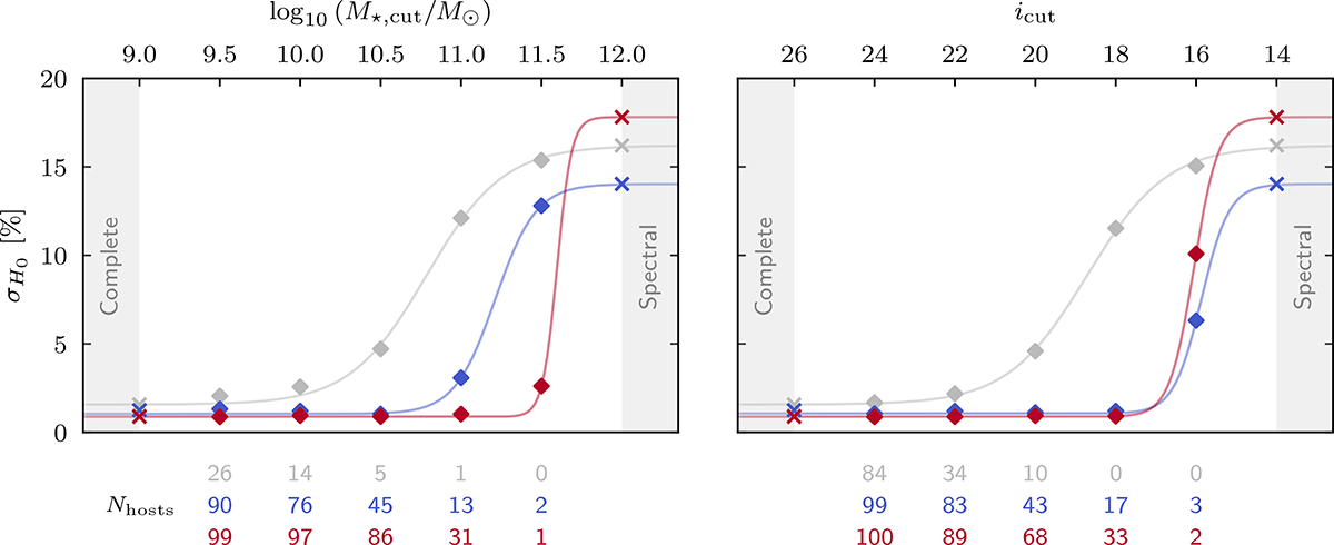
Fig. 5.

image

Download original image

Effects of galaxy survey incompleteness on H0 constraints for different stellar mass (left panel) and i-band magnitude (right panel) completeness cuts across three host weighting schemes: unweighted (mock0, gray), weighted by stellar mass (mock1, blue), and weighted by stellar mass squared (mock2, red). The values annotated below each panel indicate the number of host galaxies retained in the catalog after applying each cut.

Current usage metrics show cumulative count of Article Views (full-text article views including HTML views, PDF and ePub downloads, according to the available data) and Abstracts Views on Vision4Press platform.

Data correspond to usage on the plateform after 2015. The current usage metrics is available 48-96 hours after online publication and is updated daily on week days.

Initial download of the metrics may take a while.