Open Access

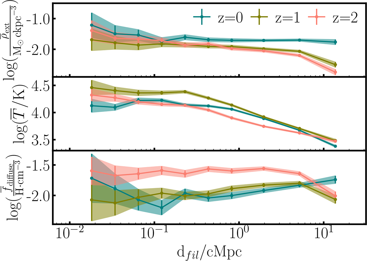
Fig. 11.

image

Download original image

Mean local extragalactic gas density, temperature and diffuse gas fraction at z = 0 (blue), 1 (green), and 2 (red) for star-forming galaxies in SIMBA as a function of dfil, shown from top to bottom. At z ≤ 1, gas density and neutral fraction peak near filaments.

Current usage metrics show cumulative count of Article Views (full-text article views including HTML views, PDF and ePub downloads, according to the available data) and Abstracts Views on Vision4Press platform.

Data correspond to usage on the plateform after 2015. The current usage metrics is available 48-96 hours after online publication and is updated daily on week days.

Initial download of the metrics may take a while.