Open Access

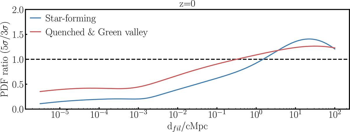
Fig. A.1.

image

Download original image

Ratio between the distance distributions obtained with a persistence threshold of 5σ and 3σ in DISPERSE, for quenched galaxies in red and star-forming galaxies in blue. Values below unity indicate a deficit in the 5σ case, and values above unity an excess.

Current usage metrics show cumulative count of Article Views (full-text article views including HTML views, PDF and ePub downloads, according to the available data) and Abstracts Views on Vision4Press platform.

Data correspond to usage on the plateform after 2015. The current usage metrics is available 48-96 hours after online publication and is updated daily on week days.

Initial download of the metrics may take a while.