Open Access

Fig. 5.

image

Download original image

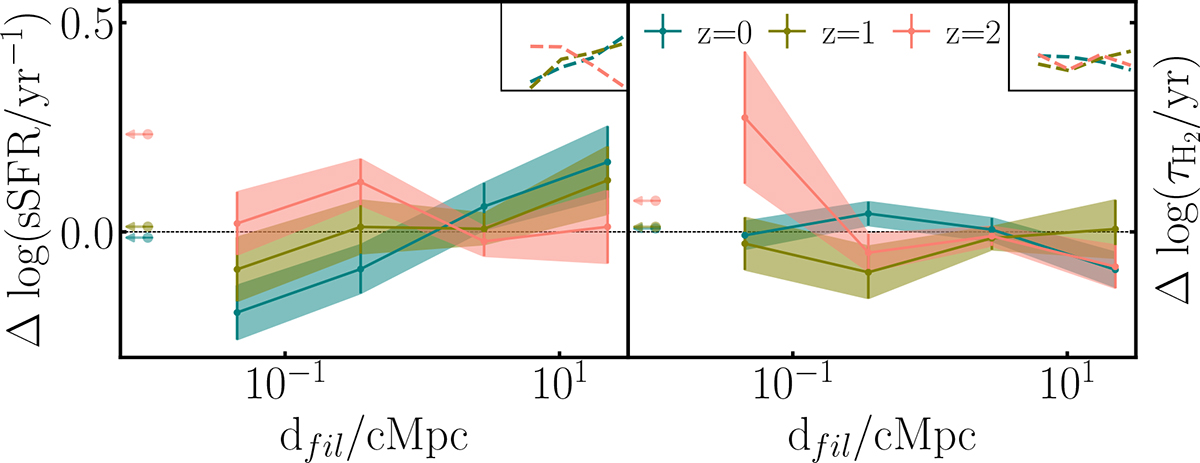
Same as Fig. 3 only for galaxies which underwent a recent major merging event, for sSFR and τH2 only. Star-forming galaxies with recent major mergers do not show the V-shaped sSFR trend, suggesting mergers are not the primary driver of environmental modulation.

Current usage metrics show cumulative count of Article Views (full-text article views including HTML views, PDF and ePub downloads, according to the available data) and Abstracts Views on Vision4Press platform.

Data correspond to usage on the plateform after 2015. The current usage metrics is available 48-96 hours after online publication and is updated daily on week days.

Initial download of the metrics may take a while.