Open Access

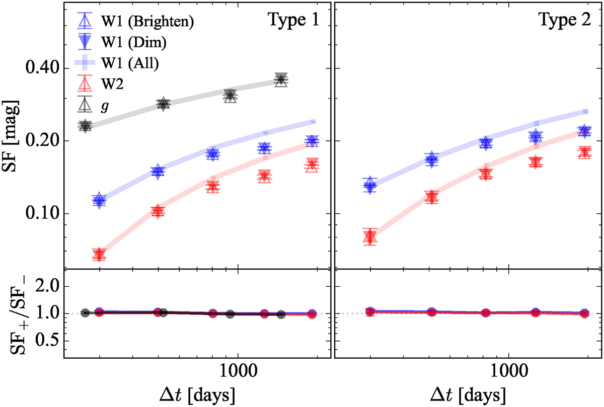
Fig. 3.

image

Download original image

Ensemble SFs for type 1 (left) and type 2 (right) AGNs. Open upward and filled downward triangles denote the ensemble SFs for the brightening and dimming phases, respectively. Ensemble SFs for all phases are shown as solid lines. Blue, red, and black symbols correspond to the W1, W2, and g bands, respectively. The ratio of SF+ to SF is shown in the bottom panels.

Current usage metrics show cumulative count of Article Views (full-text article views including HTML views, PDF and ePub downloads, according to the available data) and Abstracts Views on Vision4Press platform.

Data correspond to usage on the plateform after 2015. The current usage metrics is available 48-96 hours after online publication and is updated daily on week days.

Initial download of the metrics may take a while.