Open Access

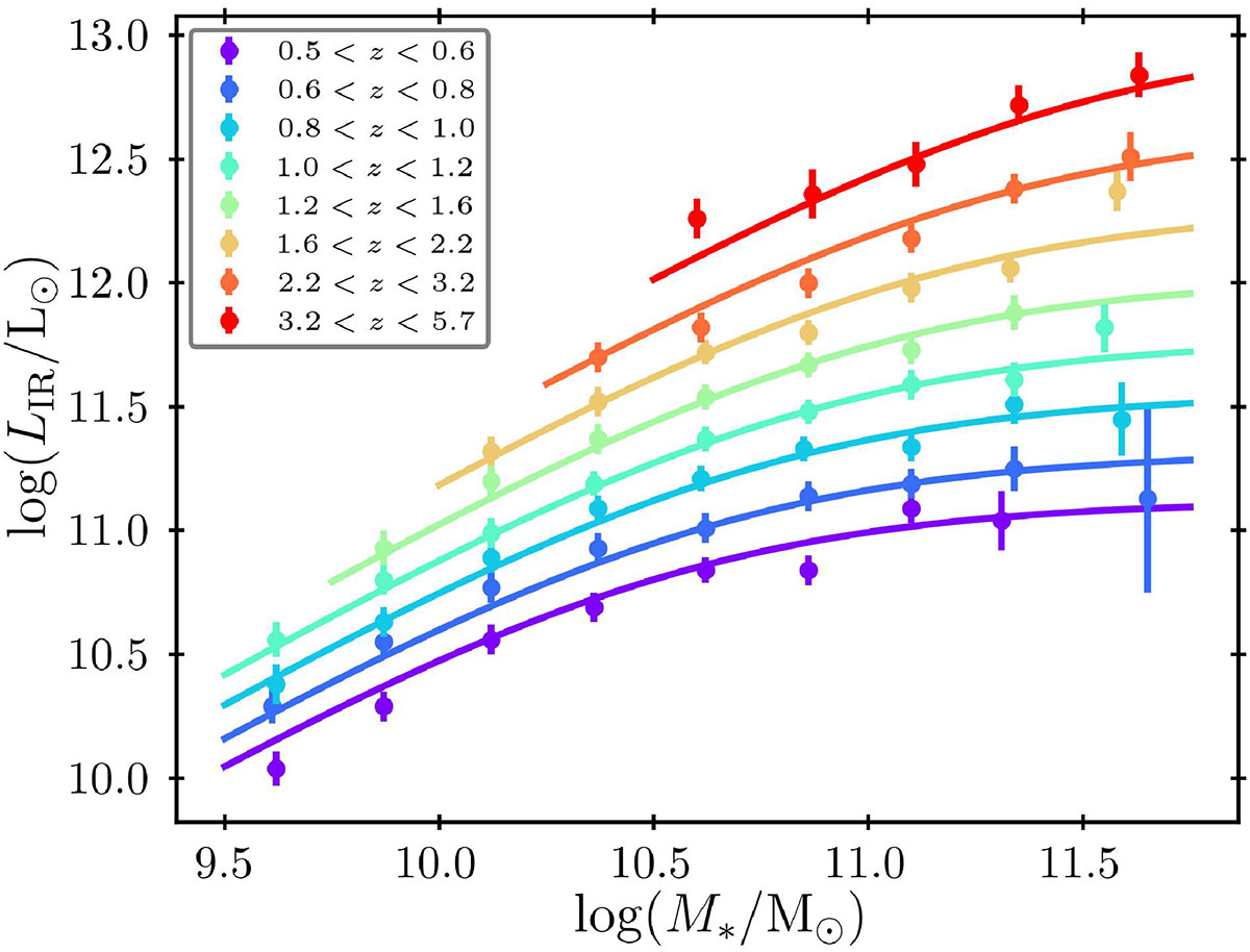
Fig. 1.

image

Download original image

Infrared luminosity-stellar mass relation determined through stacking the optical/near-IR mass-complete samples of McLeod et al. (2021) in the FIR Herschel and JCMT maps, adopted from Koprowski et al. (2024). The stacked LIR values were used to determine the faint-end portion of the IR LF, as explained in Section 3.1.1.

Current usage metrics show cumulative count of Article Views (full-text article views including HTML views, PDF and ePub downloads, according to the available data) and Abstracts Views on Vision4Press platform.

Data correspond to usage on the plateform after 2015. The current usage metrics is available 48-96 hours after online publication and is updated daily on week days.

Initial download of the metrics may take a while.